Следующий год для Украины будет богатым на события. И самым интригующим из них по причине явного отсутствия фаворита станут мартовские выборы президента. Да, верхнюю строчку социологических рейтингов сейчас занимает Юлия Тимошенко. Но 15,7 % (данные социологического центра Михаила Драгоманова) - лишь капля в море в масштабах страны. Эта цифра даже не гарантия выхода во второй тур, не говоря уже об уверенной победе. Поэтому нет ничего удивительного в том, что кандидаты на высший государственный пост, дабы повысить свои шансы, прибегают к помощи различных лоббистов, в подавляющем большинстве своем иностранных.
Не секрет, что на Юлию Владимировну в свое время работал целый штат американских и британских PR-специалистов из различных консалтинговых фирм и компаний. Ни одно мероприятие: будь то визит в США, встречи с высокопоставленными чиновниками, или выборы не обходилось без их закулисного участия.
Для информации: Услуги Wiley Rein LLP в 2011-2014 годах обошлись ЮВТ в $1,05 млн, в 2014-2016 годах - $990 тыс., а в 2016-2017 годах - $400 тыс. Итого: $2,44 млн.
За услуги MKW Group в 2015-2016 пришлось заплатить $270 тыс., а в 2016-2017 годах - $160 тыс. Итого: $430 тыс.
И это не полный список компаний, с которыми сотрудничала Тимошенко.
Предстоящие президентские выборы, по всей вероятности, не станут исключением, но сейчас речь пойдет не о них, а о визитах "газовой принцессы" в США в прошлом году.
2017 год ЮВТ начала очень продуктивно: за первые месяцы она была в Штатах два раза (многие эксперты связали такую активность с началом предвыборной компании лидера Батькiвщины). В ходе первого визита ей удалось посетить Национальный молитвенный завтрак и даже перекинутся несколькими словами с Дональдом Трампом. Второй же ознаменовался переговорами с именитыми консультантами и политтехнологами, в частности - Полом Манафортом. Разумеется, не обошлось здесь без помощи иностранных лоббистов, а именно специалистов из Podesta Group, а также влиятельных спонсоров, оплативших посещенные Тимошенко мероприятия. Одним из этих меценатов был молдавский политик, бизнесмен, олигарх, председатель Демократической Партии Молдовы и серый кардинал молдавской власти - Владимир Плахотнюк.
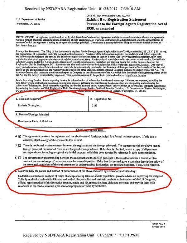
Это обнаружилось в ходе расследования спецпрокурора США Роберта Мюллера, обвинявшего Podesta Group в нарушении закона о регистрации иностранных агентов (FARA) и укрывательстве корреспонденции о работе компании с иностранными государствами. После несвоевременного, но все же получения копий требуемых договоров (Podesta Group тянула с этим три месяца, объяснив все компьютерной ошибкой, а спустя непродолжительное время и вовсе объявила о своем закрытии), выяснилось, что компания Тони Подеста не только представляла интересы Демократической партии Молдовы в США, но и оплачивала визиты Юлии Тимошенко в Штаты. Судя по информации из Акта о регистрации иностранных агентов, в январе 2017 года между ДМП и вышеупомянутой компанией был заключен контракт по которому последняя обязуется:
"Проводить исследования и анализ основных проблем Украины и ее населения. Оказывать консультационные услуги в вопросе улучшения имиджа Юлии Тимошенко как внутри Украины, так и за ее пределами. Установить и поддерживать контакты с конгрессменами, членами правительства, другими политическими деятелями. Организовывать визиты и встречи, обеспечивать им резонанс в СМИ. Выработка стратегической программы по подготовке Юлии Тимошенко к выборам"
Примерно в то же время Podesta Group получила за свои услуги денежный перевод в размере 80 тысяч долларов, а спустя несколько месяцев еще один аналогичный.
То есть в 2017 году за пиар Тимошенко Плахотнюк заплатил 160 тысяч долларов.
Чем вызвана такая щедрость, пока точно неясно? Так же как и непонятно, зачем собственно поддерживать Юлию Владимировну? Ведь доподлинно известно, что молдавский кукловод является бизнес-партнером Порошенко. Например, магазин "Детский мир" в Кишиневе - их общее детище. Конечно, возможно, Плахотнюк никогда не верил и не верит в победу Петра Алексеевича на выборах, и поэтому решил поставить на более сильного кандидата. Если так, то финансовые вливания не прекратятся.
Кстати, 15 марта этого года американское издание The Hill сообщило, что лидер Батькiвщины заключила с февраля по август 2018 года контракт с фирмой Avenue Strategies на общую сумму 390 тысяч долларов. Согласно договору, лоббистские услуги включали в себя "исследования, связи с правительством, PR, стратегические консультации". Тимошенко оправдывалась, заявив, что не в курсе договора и ничего подобного не подписывала.
Так может это тоже подарок от Плахотнюка?


